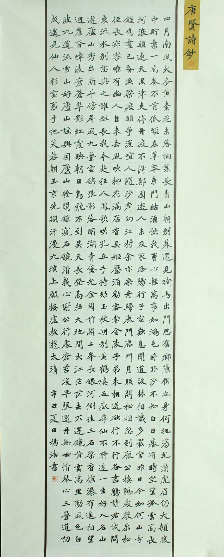
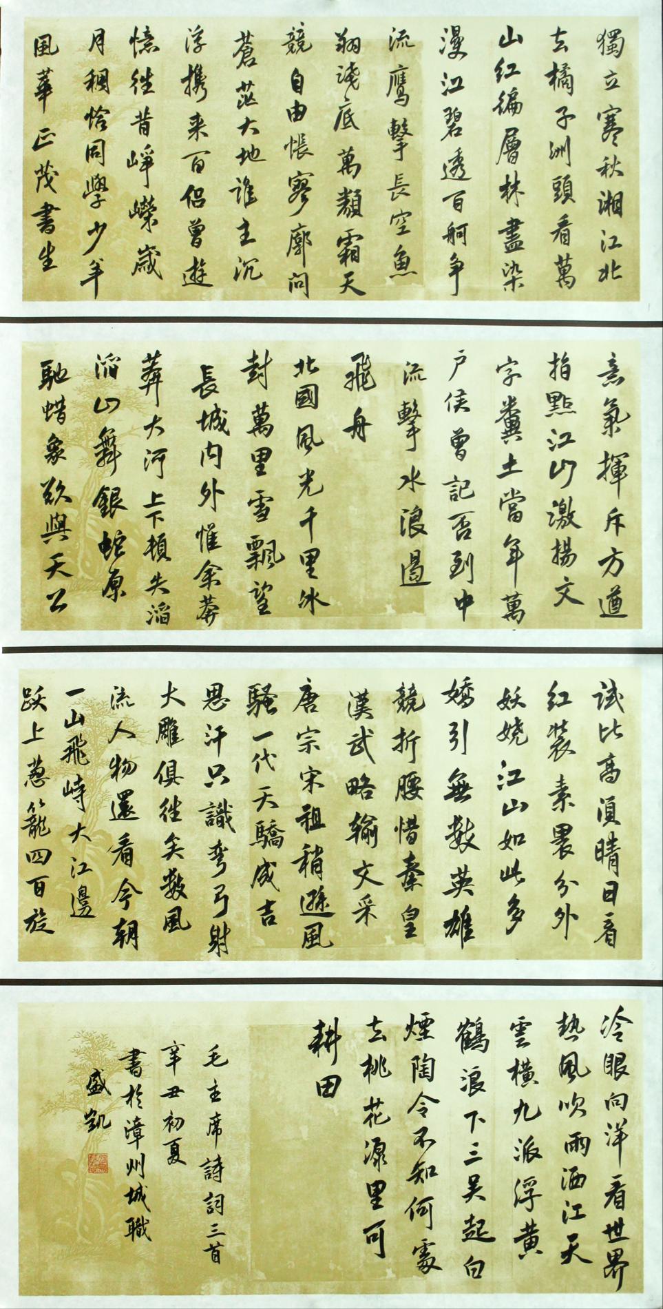
近日,教育部主办的第三届中华经典颂写讲大赛“笔墨中国”汉字书写大赛决赛评选结果公布。本次大赛共收到全国参赛作品31万余件,经理论知识考核及专家审核评出各奖次,我系五名学生在罗觉华老师的悉心指导下,倾心打磨作品参赛,脱颖而出,荣获大奖。他们分别是:
小教171(五专)杨 浩 大学软笔组二等奖
小教172(五专)蔡佳柔 大学硬笔组优秀奖
小教185 张雨馨 大学硬笔组优秀奖
小教182(五专)陈盛凯 中学软笔组优秀奖
小教183(五专)林子阳 中学软笔组优秀奖
同学们能够连续两年在“笔墨中国”汉字书写大赛中斩获大奖,实属不易,这是同学们付出无数汗水所得来的成绩,希望同学们再接再厉,更上层楼!
让我们一起来欣赏他们的作品吧!

杨浩 获奖作品

蔡佳柔 获奖作品

张雨馨 获奖作品

陈盛凯 获奖作品

林子阳 获奖作品